Suprime-Cam Filter System
This page describes the Suprime-Cam filters, and the transformations between the Pan-STARRS photometric system and Suprime-Cam.
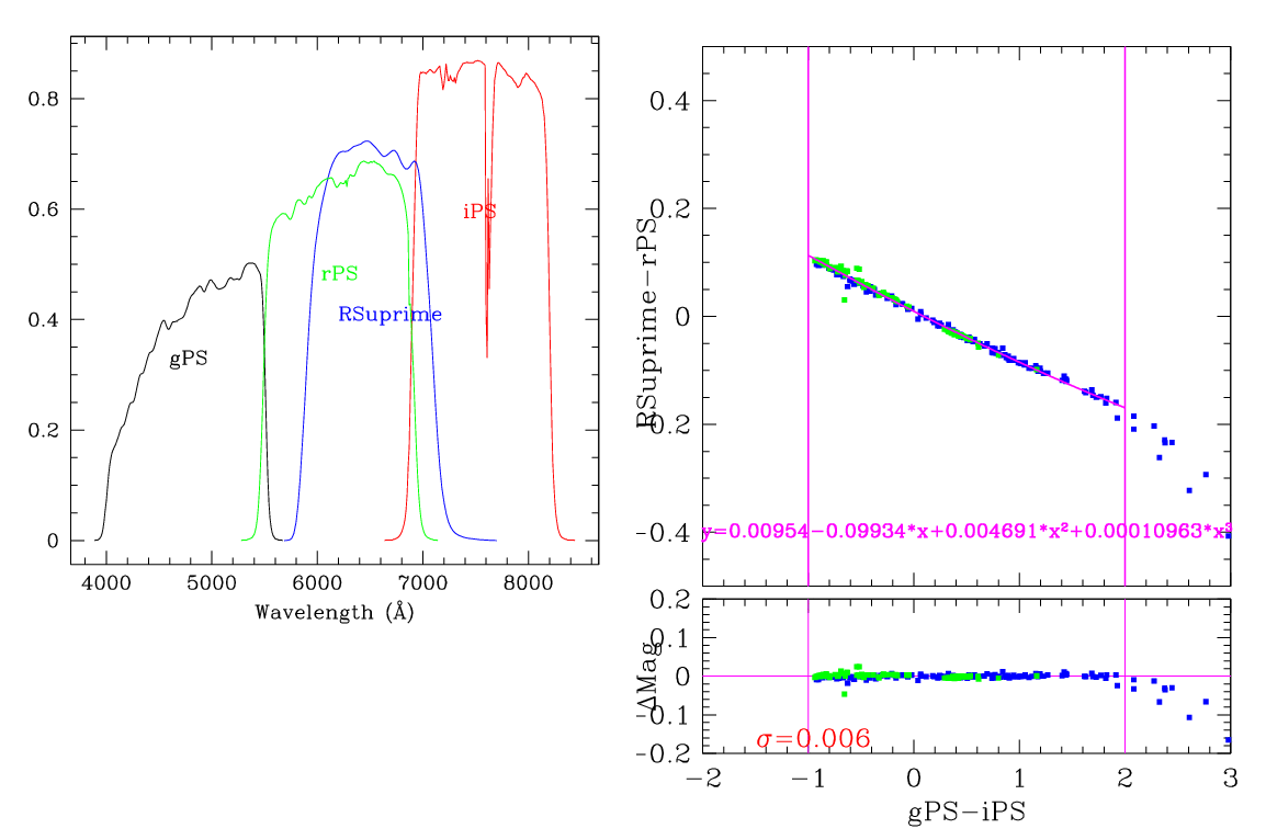
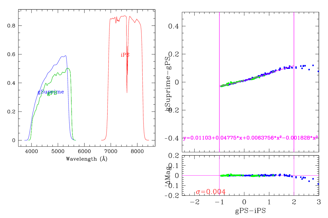
The transformations were done using (g-i)Pan-STARRS as the reference colour. The Pan-STARRS filter nearest the centre wavelength of the filter was used as the reference magnitude. The transformation was expressed as a 3rd order polynomial with x being g-i, and y being the difference between the Suprime-Cam magnitude and the reference Pan-STARRS magnitude.
The Transmission Function links point to text versions of each filter. These represent the full response of the system, including the atmosphere, the primary mirror, the Suprime-Cam optics, the filter itself and the CCDs.
| Johnson-Cousins Filters | |
|---|---|
| W-J-B | Transmission Function |
| W-J-V | Transmission Function |
| W-C-RC | Transmission Function |
| W-C-IC | Transmission Function |
| SDSS Filters | |
|---|---|
| W-S-G+ | Transmission Function |
| W-S-R+ | Transmission Function |
| W-S-I+ | Transmission Function |
| W-S-Z+ | Transmission Function |
| W-A-Y | Transmission Function |
| Other Filters | |
|---|---|
| W-J-VR | Transmission Function |
| W-A-Y | Transmission Function |
| Intermediate band Filters | |
|---|---|
| I-A-L427 | Transmission Function |
| I-A-L445 | Transmission Function |
| I-A-L464 | Transmission Function |
| I-A-L484 | Transmission Function |
| I-A-L505 | Transmission Function |
| I-A-L527 | Transmission Function |
| I-A-L550 | Transmission Function |
| I-A-L574 | Transmission Function |
| I-A-L598 | Transmission Function |
| I-A-L624 | Transmission Function |
| I-A-L651 | Transmission Function |
| I-A-L679 | Transmission Function |
| I-A-L709 | Transmission Function |
| I-A-L738 | Transmission Function |
| I-A-L767 | Transmission Function |
| I-A-L797 | Transmission Function |
| I-A-L827 | Transmission Function |
| I-A-L856 | Transmission Function |
| I-A-L907 | Transmission Function |
| Narrowband Filters | |
|---|---|
| N-A-L656 | Transmission Function |
| N-B-L711 | Transmission Function |
| N-B-L816 | Transmission Function |
| N-B-L921 | Transmission Function |
In the plots below, the left panel shows the filter curves,
together with the relevant Pan-STARRS filter. The black and red
curves show the Pan-STARRS g and i filters. The green curve shows the
reference filter. The right panel shows the transformation
itself. The green and blue dots show the
Pickles and
CALSPEC/a>
stars. The magenta curve shows the fit, also indicated in
polynomial form. The vertical lines show the colour range
where this transformation is valid.
</p>
Johnson-Cousins filters
W-J-B
Transmission Function
W-J-V
Transmission Function
W-C-RC
Transmission Function
W-C-IC
Transmission Function
SDSS filters
W-S-G+
Transmission Function
W-S-R+
Transmission Function
W-S-I+
Transmission Function
W-S-Z+
Transmission Function
Other filters
W-J-VR
Transmission Function
W-A-Y
Transmission Function
Intermediate band filters
I-A-L427
Transmission Function
I-A-L445
Transmission Function
I-A-L464
Transmission Function
I-A-L484
Transmission Function
I-A-L505
Transmission Function
I-A-L527
Transmission Function
I-A-L550
Transmission Function
I-A-L574
Transmission Function
I-A-L598
Transmission Function
I-A-L624
Transmission Function
I-A-L651
Transmission Function
I-A-L679
Transmission Function
I-A-L709
Transmission Function
I-A-L738
Transmission Function
I-A-L767
Transmission Function
I-A-L797
Transmission Function
I-A-L827
Transmission Function
I-A-L856
Transmission Function
I-A-L907
Transmission Function
Narrowband filters
N-A-L656
Transmission Function
N-B-L711
Transmission Function
N-B-L816
Transmission Function
N-B-L921
Transmission Function
- Date modified: